生理药理学第十六章
第十六章 解热镇疼抗炎药物
第一节 膜磷脂-花生四烯酸代谢通路
● 膜磷脂主要通过花生四烯酸通路代谢 ● 三代谢途径:环加氧酶(COX)途径、脂加氧酶(LOX)途径、P450表氧化酶途径 ● 三类代谢物:前列腺素类(PGs)、血栓素类(TXs)、白三烯类(LTs)。
花生四烯酸
|


1、前列腺素 (Prostaglandins, PGs)
● 一类生理活性物质
● 普遍存在人体各个组织
● 通过不同的PG受体,产生激素样生理影响
● 20碳,包括一个五元环
PGE1
|

2、血栓素 (Thromboxanes,TXs)
● 脂质家族
● 主要成员,TXA2、TXB2
● 在血栓形成中扮演作用
● 6元环,TXA2含有一个6元含醚环
TXA2
|
TXB2
|
3、白三烯(Leukotrienes,LTs)
● 在白细胞中由磷脂代谢产生的炎症介质家族
● 含有三个连续的双键
● LTC4, LTE4, LTD4为半胱氨酸修饰的LTs
● LTs通过G蛋白偶联受体产生生物学效应,参与哮喘和过敏反应,维持炎症反应
LTA4
|
LTB4
|
LTC4
|
LTD4
|
LTE4
|
一、COX(环加氧酶)途径
● 生成前列腺素以及衍生物 (PGs)。
● 一部经血栓素合成酶作用生成血栓素(TXA2)。
● 存在两种环加氧酶,COX-1 和COX-2。
● COX-1参与正常生理活动。
● COX-2也存在正常组织,但主要为诱导酶,在炎症或组织损伤下,表达增强,参与发热、炎症、疼痛和肿瘤的发生。
代谢产物中
● PGD2、PGF2α、TXA2对组织起保护作用。
● PGE2、PGI2参与发热、炎症、疼痛反应。
二、LOX (脂加氧酶)途径
● LTs (白三烯类) 为重要的炎症介质。 ● 参与许多疾病如动脉硬化、心血管疾病、心脏病等病理过程。 代谢产物中 ● LTC4、LTD4为支气管收缩剂以及引起过敏反应的物质。 ● LTB4在一些癌细胞中含量较高。
三、P450表氧化酶途径
● 代谢产物为EETs (表氧二十碳烯酸)。
● 参与血管平滑肌舒张。

第二节 解热镇痛抗炎药
● 甾体类抗炎药 (糖皮质激素)
● 非甾体类抗炎药 (NSAIDs)
(Nonsteroidal anti-inflammatory drugs)
1、糖皮质激素(甾体类,类固醇类)
● 内源性以及化学合成
● 强抗炎作用
● 长期使用副作用大
2、非甾体类抗炎药(NSAIDs)
● 水杨酸类、苯胺类、吡唑酮类、吲哚乙酸类、邻氨基苯甲酸类、芳基烷酸类。
● 作用机理:抑制花生四烯酸代谢中的环加氧酶(COX),使前列腺素合成减少。
● 选择性COX-2抑制剂的肠胃道副作用相对较小。
![]() |
![]() |
(1)药理
● 解热
graph TD
A[病原微生物等刺激<br>单核细胞和巨噬细胞产生并释放<br>内生性炎症因子IL-1β、IL-6、TNF-α] e1@--> B[在下丘脑诱导PGE2的合成并释放]
e1@{ animate: true }
B e2@--> C[作用于体温交接中心]
e2@{ animate: true }
C e3@--> D[体温上升]
e3@{ animate: true }
style A fill:#ffecb3,stroke:#ffa000
style B fill:#d1c4e9,stroke:#673ab7
style C fill:#c8e6c9,stroke:#4caf50
style D fill:#f8bbd0,stroke:#e91e63
graph TD
A[NSAIDs抑制下丘脑COX,阻断PGE2合成] e1@--> B[体温调节中枢恢复正常]
e1@{ animate: true }
style A fill:#ffcdd2,stroke:#f44336
style B fill:#f8bbd0,stroke:#e91e63

● 镇痛
graph TD
A[组织损伤或炎症<br>促使PGs合成与释放<br>(PGI2、PGE2)] e1@--> B[组胺(histamine)<br>缓激肽(bradykinin)<br>激活痛觉神经受体]
e1@{ animate: true }
B e2@--> C[提高痛觉感受器<br>敏感性]
e2@{ animate: true }
C e3@--> D[产生疼痛]
e3@{ animate: true }
style A fill:#ffcdd2,stroke:#f44336
style B fill:#e1bee7,stroke:#9c27b0
style C fill:#bbdefb,stroke:#2196f3
style D fill:#ffab91,stroke:#d84315
graph TD
A[NSAIDs抑制外周病变部位的COX] e1@--> B[减少PGs的合成与释放]
e1@{ animate: true }
B e2@--> C[镇痛作用]
e2@{ animate: true }
style A fill:#c8e6c9,stroke:#4caf50
style B fill:#bbdefb,stroke:#2196f3
style C fill:#ffe0b2,stroke:#fb8c00

● 抗炎
graph TD
A[炎症发生] e1@--> B[产生大量PGE2]
e1@{ animate: true }
B e2@--> C[扩张血管,并与组胺、缓激肽、白三稀等协同作用]
e2@{ animate: true }
C e3@--> D[血管渗漏、水肿等炎症反应]
e3@{ animate: true }
style A fill:#f8bbd0,stroke:#e91e63,color:red
style B fill:#d1c4e9,stroke:#673ab7,color:red
style C fill:#c8e6c9,stroke:#4caf50,color:red
style D fill:#b3e5fc,stroke:#0288d1,color:red
graph TD
A[NSAIDs抑制炎症部位COX-2] e1@--> B[减少PGE2]
e1@{ animate: true }
B e2@--> C[抑制炎症反应]
e2@{ animate: true }
style A fill:#c8e6c9,stroke:#4caf50
style B fill:#bbdefb,stroke:#2196f3
style C fill:#ffe0b2,stroke:#fb8c00

●NSAIDs 也可抑制自由基、超氧化物、白介素的生成。
●降低血管对缓激肽、组胺的敏感性。
(2)不良反应
● 中枢:头痛、耳鸣、头晕
● 心血管:高血压、心力衰竭
● 胃肠道:恶心、畏食、呕吐、腹痛
● 肝肾:肝肾功能异常
● 等等
3、代表的NSAIDs
(1)水杨酸类● 阿司匹林:1893年合成,仍在使用。不良反应少。
● 二氟尼柳:抗炎强于阿司匹林,但解热弱。
(2)苯胺类
● 对乙酰氨基酚(扑热息痛):解热镇痛强,抗炎弱。
(3)吡唑酮类
● 安乃近:头痛、肌肉疼、关节痛
(4)吲哚乙酸类
● 吲哚美辛(消炎痛): 急性风湿性与类风湿关节炎
(5)邻氨基苯甲酸类
● 双氯芬酸(双氯灭疼)
(6)芳基烷丙酸类
● 布洛芬:解热、镇痛、抗炎
● 萘普生
(7)烯醇酸类
● 吡罗昔康
● 氯诺西康
(8)选择性COX-2抑制剂
● 塞米昔布
● 帕瑞昔布
● 尼美舒利
第三节 抗风湿药
● 类风湿关节炎:病因不明的免疫性疾病
● 药物:NSAIDs、糖皮质激素、DMARDs(disease-modifying antirheumatic drugs)
● DMARDs: 非生物类与生物类
非生物类:来氟米特
● 抑制二氢乳清酸脱氢酶
● 核苷酸合成下降、抑制T细胞的增殖
● 抑制炎症因子受体表达
![]() |
![]() |
生物类
● TNF-α抑制剂
● T细胞调节剂
● B淋巴细胞抗体
● 炎症因子受体抗体
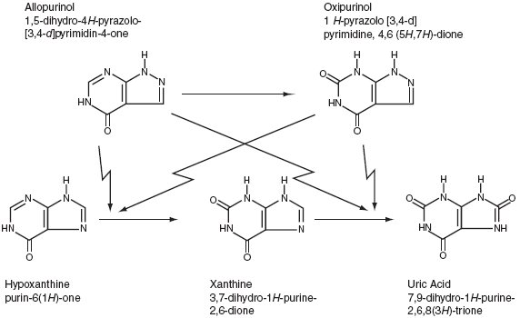
第四节 抗痛风药
● 尿酸钠沉积于骨关节和软骨所致
● 导致急性关节炎反复发作
● 痛风常伴随高尿酸血症
● 尿酸盐结晶可被关节滑膜细胞吞噬,释放PG以及炎症因子
● 尿酸溶解性低,可被尿酸酶转化为溶解性高的尿囊素
治疗策略
● 抑制尿酸合成
● 促进尿酸排泄
● 抑制炎症
尿酸
|

● 丙磺舒:抑制尿酸在肾小管重吸收,增加尿酸排泄,减少血液尿酸含量
● 别嘌醇:抑制黄嘌呤氧化酶,减少尿酸生成
● 苯溴马隆:抑制肾小管对尿酸的重吸收
● 秋水仙碱
秋水仙碱
|
秋水仙
|
本章小结
1、膜磷脂-花生四烯酸代谢途径
2、甾体类抗炎药物(糖皮质激素)
3、非甾体类抗炎药以及代表药物(阿司匹林、对乙酰氨基酚、布洛芬)








